Oscillators Overview
We have constructed a set of 200+ oscillators that numerically estimate effects of order flow imbalances
on price and volatility throughout the trading session.
Oscillators are built for both buy and sell sides of the book by comparing the strength of order flow imbalances between the both sides.
Negative numbers (red color on charts) signal strong sell pressure, positive numbers signal strong buy pressure.
Oscillators strongly correlate with price movements, which gives them superior predictive power.
Oscillators move within the range from -1.0 ("oversold") to +1.0 ("overbought"), providing an easy decision-making framework.
Oscillator naming convention:
Oscillator.{ Oscillator_Name }
Oscillator Features
Oscillators exhibit strong correlation with price movements.
Below is a sample of the QQQ stock ticker chart for June 5, 2009 trading session with a 5-second resolution:
This relationship is remains stable on the day-to-day and stock-to-stock basis.
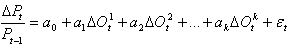
A simple linear multivariate regression framework can be used
to measure how much variation of returns is explained by the variation of the oscillators throughout the trading session:

where Pt is the stock price at time t and Otk are the selection of k oscillators.
Below is the estimation of this regression for a selection of stocks for the 3-week period of May 21 - June 12, 2009
using five-second tick intervals from 9:30 AM to 4:00 PM EST (4680 observations).
Three oscillators have been used to explain the variance of stock returns: AQ, A1 and VQ.
According to the estimation results presented below, the three oscillators explained 50-80 per cent of the variance.
Extremely low p-levels for all stocks and days, as well as stability of the estimated regression coefficients measuring oscillator's impact on price
(a1, a2, a3),
indicates that each oscillator contribution to price movements is highly significant statistically.
Note: you can reproduce the results by using the original datasets.
Each file contains changes in stock price and corresponding changes in oscillators.
|